• Предмет: Математика
  • Автор: korolevmzfpbumf2
  • Вопрос задан 8 лет назад

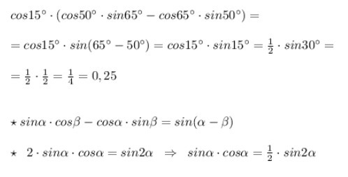
Значение выражения СКРИН

Приложения:

Ответы

Ответ дал: NNNLLL54
0

 cos15^circ cdot (cos50^circ cdot sin65^circ -cos65^circ cdot sin50^circ )=\\=cos15^circ cdot sin(65^circ -50^circ )=cos15^circ cdot sin15^circ =frac{1}{2}cdot sin30^circ =\\=frac{1}{2}cdot frac{1}{2}=frac{1}{4}=0,25\\\star sinalphacdot cosbeta -cosalpha cdot sinbeta =sin(alpha -beta )\\star ; ; 2cdot sinalpha cdot cosalpha =sin2alpha ; ; Rightarrow ; ; sinalpha cdot cosalpha =frac{1}{2}cdot sin2alpha

Приложения:
Ответ дал: Tomkaya
0

В скобках формула.

 sin(x-y)=sinx*cosy-cosx*siny

Таким образом, cos15°*sin15°=sin30°/2 (из формулы двойного аргумента)=0,25


Приложения:
Вас заинтересует