Ответы
Ответ дал:
0
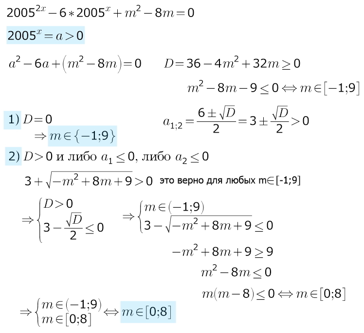
Наблюдается уравнение вида ay²+by+c=0.
Еще один случай, при c=0, уравнение преобразуется в 2005^x(2005^x-6)=0, откуда так-же выявляется один корень.
Следовательно нам подходит интервал [0;8]U {-1 ;9 }
Еще один случай, при c=0, уравнение преобразуется в 2005^x(2005^x-6)=0, откуда так-же выявляется один корень.
Следовательно нам подходит интервал [0;8]U {-1 ;9 }
Приложения:

Ответ дал:
0
Что не понятно спрашивайте, ибо в решении много чего не объяснил
Ответ дал:
0
квадратное уравнение будет иметь единственный корень не только в случае равенства дискриминанта нулю, но
и если второй корень является посторонним, ведь у нас показательное уравнение, значит, нужно рассмотреть два случая:
1) D=0
2) D>0 и один корень посторонний, т.е. либо =0, либо <0
значения показательной функции могут быть только положительными числами (по определению)
Приложения:

Вас заинтересует
2 года назад
2 года назад
3 года назад
9 лет назад
9 лет назад