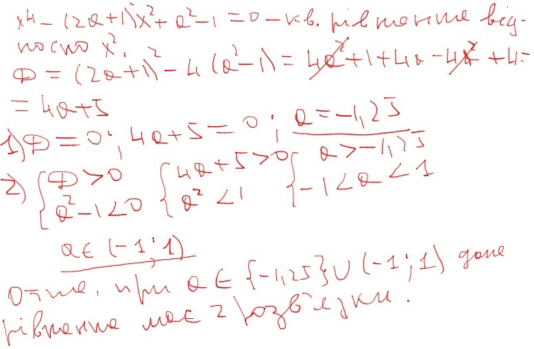
1. При каких значениях параметра а уравнение x^4-(2a+1)x^2+a^2-1=0 имеет два разных действительных корня.
2. Построить ГМТ, что удовлетворяют неравенство x^2-3xy-4y^2/x^2+y^2-9 меньше или равно 0.( это задание есть на фото и оно там 12)
Приложения:

Ответы
Ответ дал:
0
Розв'язки задач у вкладеннях
Приложения:


Ответ дал:
0
Есои подставить а=-5/4, то будет несоответствие, поэтому единственное решение (-1; 1)
Ответ дал:
0
*Если
Вас заинтересует
2 года назад
2 года назад
3 года назад
9 лет назад
9 лет назад