• Предмет: Математика
  • Автор: eftet3
  • Вопрос задан 8 лет назад

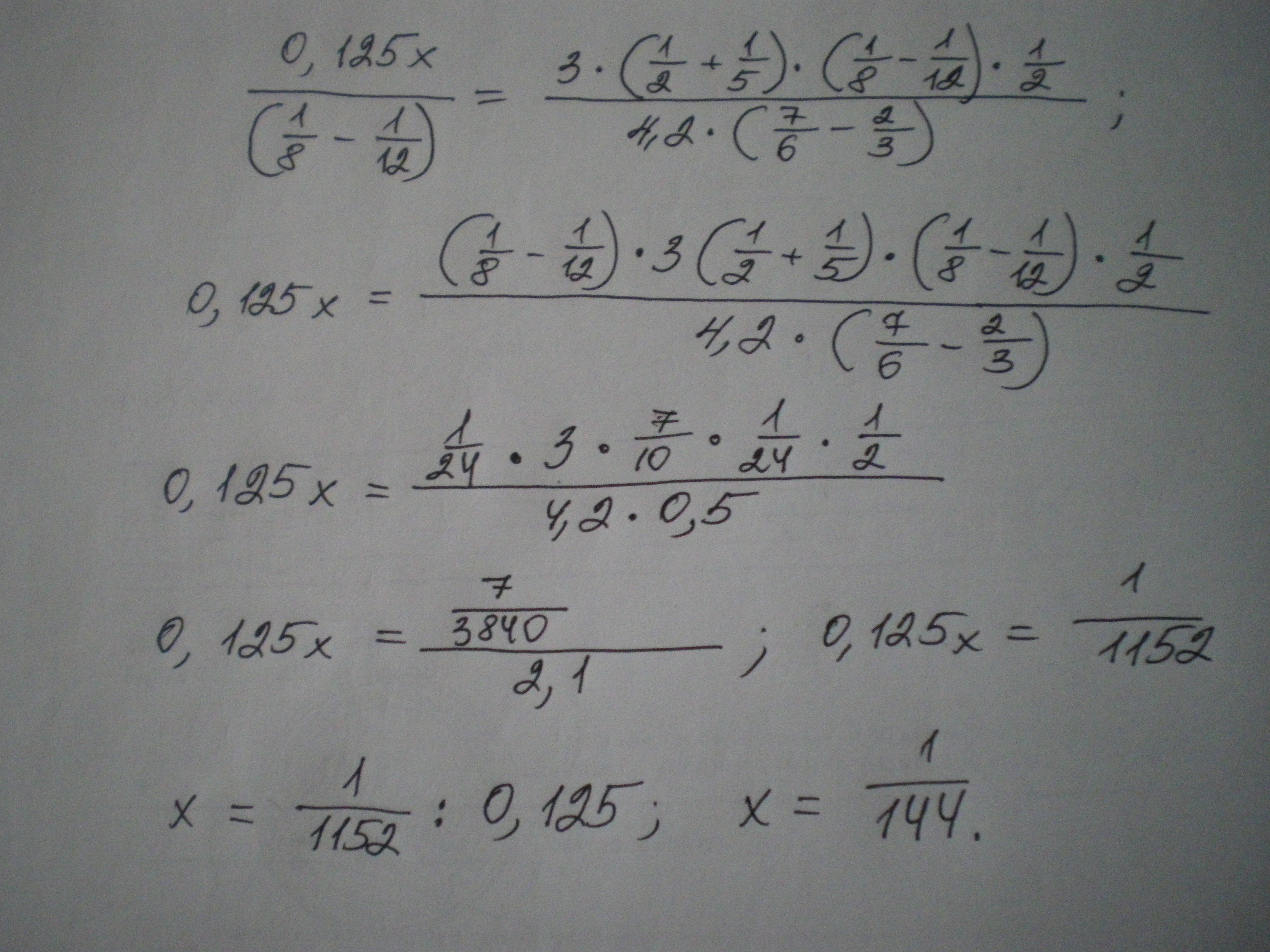
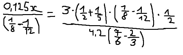
Ребята помогите найти число х из пропорции

Приложения:

Ответы

Ответ дал: Пеппер
0

:::::::::::::::решение::::::::::::::

Приложения:
Ответ дал: eftet3
0
Варианты ответов:1/8 1/6 1/4 1/2 1
Ответ дал: Аноним
0
Ответ все же будет 1/144
Ответ дал: eftet3
0
Хмм,странно)
Ответ дал: теоретик5
0

Решение написано в приложении:

Приложения:
Вас заинтересует