какие ув образуются при алкилировании толуола пропиленом в присутствии AlCl3
Так?
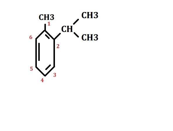
И точно такой же ответ только на 4 и 6 еще.
Я совершенно не понял как это делать
Вот алкилирования бензола каким-нибудь CH3Br - легко, а это нет...
Приложения:

Ответы
Ответ дал:
0
Метил-радикал орто-, пара-ориентант (поскольку является донорной группой) => он будет давать смесь о- и п-дизамещенных бензолов (см. фото).
Продукты 1-изопропил-2- метилбензол (о-метилкумол) и 1-изопропил-4-метилбензол (п-метилкумол).
1,6- изомер идентичен 1,2, его не пишите. Таким образом получаем два продукта. Удачи вам!
Приложения:

Ответ дал:
0
Пожалуйста! Это тот же изопропил-радикал, только записанный в более свёрнутом виде. Записи изопропил-радикала
CH3-CH-CH3 и CH(CH3)2 несут одинаковый смысл. Так что можете его записывать как у вас на картинке (или к меня в 1,4-продукте) или свёрнуто, как CH(CH3)2 (в продукте 1,2).
CH3-CH-CH3 и CH(CH3)2 несут одинаковый смысл. Так что можете его записывать как у вас на картинке (или к меня в 1,4-продукте) или свёрнуто, как CH(CH3)2 (в продукте 1,2).
Ответ дал:
0
Кто из этих актёров Не играл роль Стива Джобса? Майкл Фассбендер. Джесси Айзенберг. Эштон Кутчер.
Ответ дал:
0
Помогите пожалуйста
Ответ дал:
0
ответьте на этот вопрос
Ответ дал:
0
ответьте на этот вопрос.
Вас заинтересует
2 года назад
2 года назад
3 года назад
9 лет назад
9 лет назад