• Предмет: Алгебра
  • Автор: Kira8you
  • Вопрос задан 8 лет назад

Найдите разность арифметической прогрессии если An=21 , n=7, Sn=
105

Ответы

Ответ дал: snow99
0

a7 = 21

s7 = 105

s7 = (2а₁ + 6d)/2 * 7 = 7(a₁ + 3d) = 105


a₁ + 6d = 21

a₁ + 3d = 15

Вычтем второе уравнение из первого:

3d = 6

d = 2


Ответ дал: artalex74
0

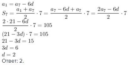
 a_1=a_7-6d\ S_7=dfrac{a_1+a_7}{2}cdot7= dfrac{a_7-6d+a_7}{2}cdot7= dfrac{2a_7-6d}{2}cdot7\<br />dfrac{2cdot21-6d}{2}cdot7=105\ (21-3d)cdot7=105\ 21-3d=15\ 3d=6\ d=2

Ответ: 2.

Приложения:
Вас заинтересует