• Предмет: Алгебра
  • Автор: Аноним
  • Вопрос задан 8 лет назад

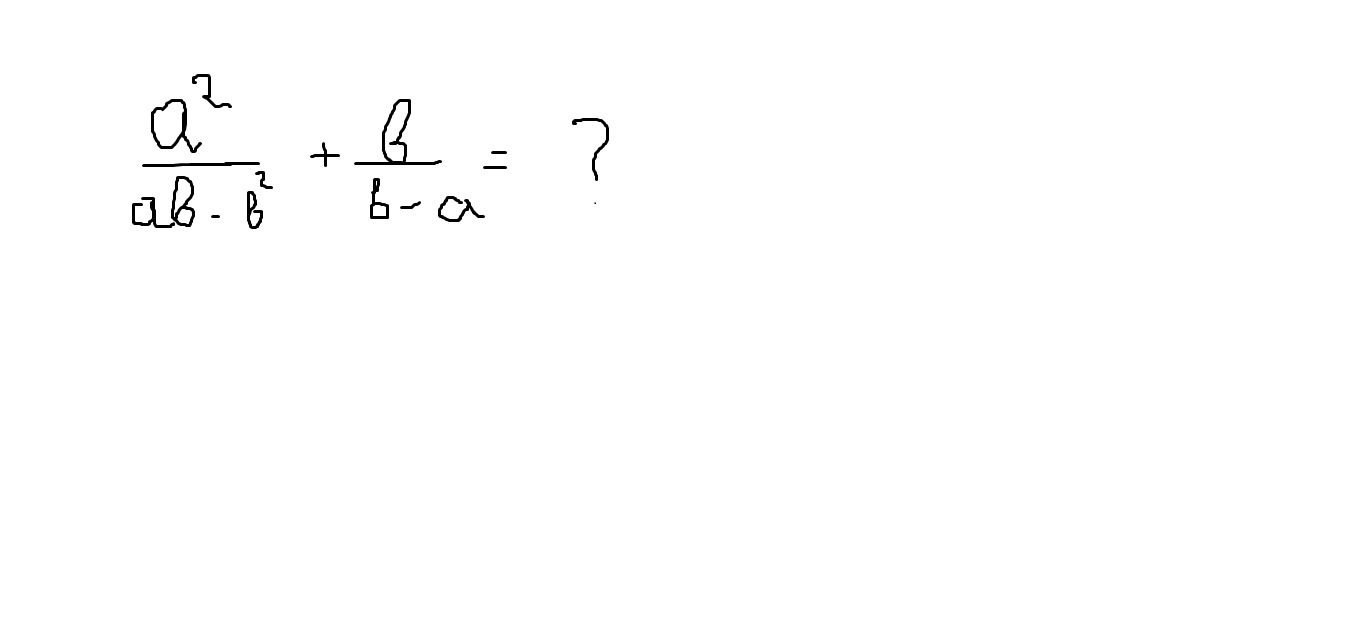
Упростите выражение:
Срочно пжжж

Приложения:

Ответы

Ответ дал: snow99
0

 frac{ {a}^{2} }{ab -  {b}^{2} }  +  frac{b}{b - a}  =  frac{ {a}^{2} }{b(a - b)}  +  frac{b}{ - (a - b)}  =  frac{ {a}^{2} }{b(a - b)}  -  frac{b}{a - b}  =  frac{ {a}^{2} -  {b}^{2}  }{b(a - b)}  =  frac{(a - b)(a + b)}{b(a - b)}  =  frac{a + b}{b}
Ответ дал: Аноним
0
Спасибо огромное!!
Вас заинтересует