• Предмет: Алгебра
  • Автор: Mamedov12
  • Вопрос задан 8 лет назад

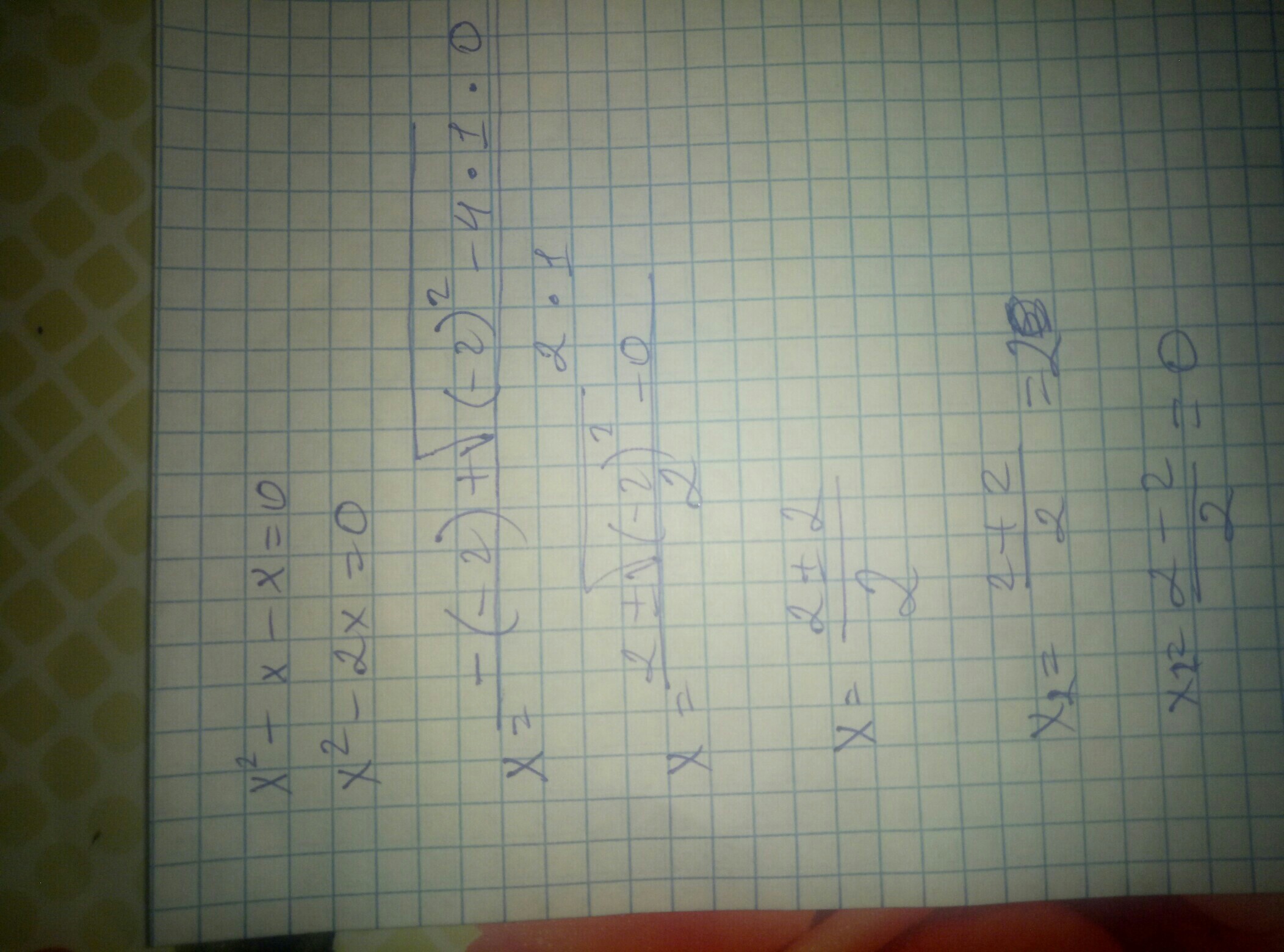
Решите, используя формулу для вычисления корней квадратного уравнения ⇒⇒⇒⇒⇒
х^2-х-х=0

Ответы

Ответ дал: P4ZZo
0
все в картинке удачи.
Приложения:
Ответ дал: Mamedov12
0
Молодец! Держи 25 баллов)
Вас заинтересует