• Предмет: Математика
  • Автор: Astrovan
  • Вопрос задан 8 лет назад

Тригонометрия
Задание 16)

Приложения:

Ответы

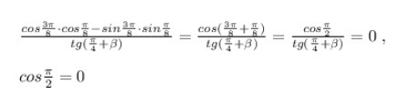
Ответ дал: NNNLLL54
0

 cosalpha cdot cosbeta-sinalpha cdot sinbeta=cos(alpha+beta )

Приложения:
Вас заинтересует