Ответы
Ответ дал:
0
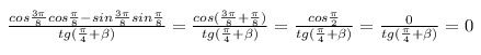
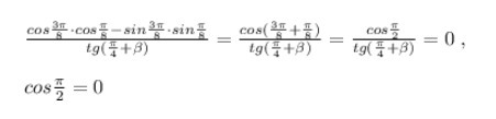
Приложения:

Ответ дал:
0
Почему у меня это отображается неправильно?
Ответ дал:
0
Перезагрузите страницу (не с телефона)
Ответ дал:
0
Подскажите по какой формуле в числителе в первом действии это решается
Ответ дал:
0
Приложения:

Ответ дал:
0
косинус суммы - в числителе
Вас заинтересует
2 года назад
3 года назад
3 года назад
9 лет назад