• Предмет: Алгебра
  • Автор: cuivivi
  • Вопрос задан 8 лет назад

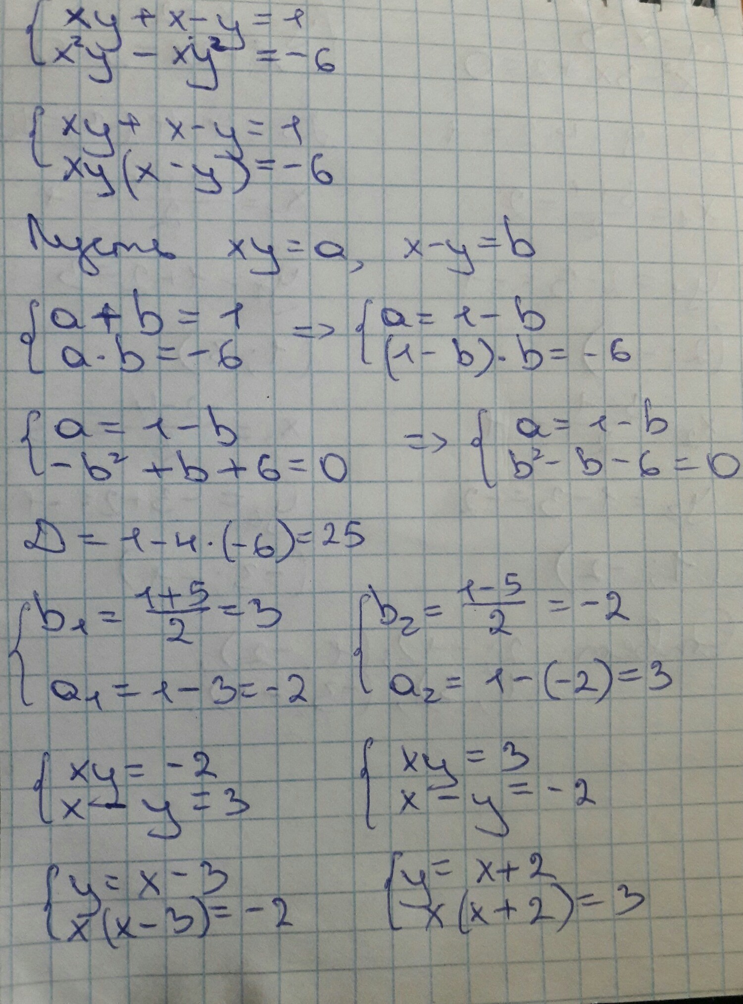
РЕШИТЕ ПОЖАЛУЙСТА ПОПОДРОБНЕЕ

Приложения:

Ответы

Ответ дал: snow99
0
Решение во вложении.
Приложения:
Вас заинтересует