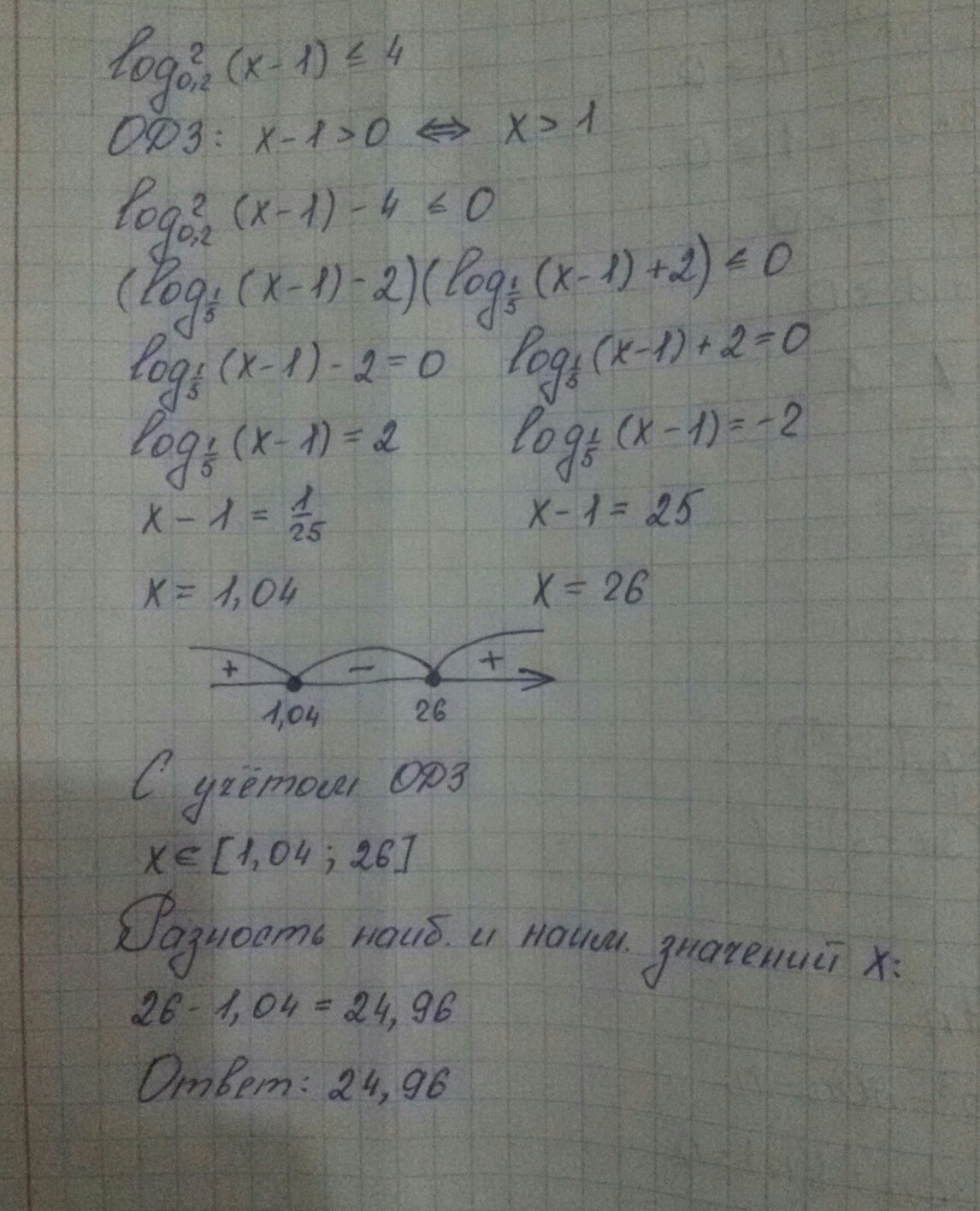
найти разность наибольшего и наименьшего значения Х, который удовлетворяет неравенство. Подробнее объясните пожалуйста
Приложения:

Ответы
Ответ дал:
0
Методом интервалов...
Приложения:

Вас заинтересует
2 года назад
2 года назад
3 года назад
3 года назад
9 лет назад
9 лет назад