• Предмет: Алгебра
  • Автор: Djasurxon
  • Вопрос задан 8 лет назад

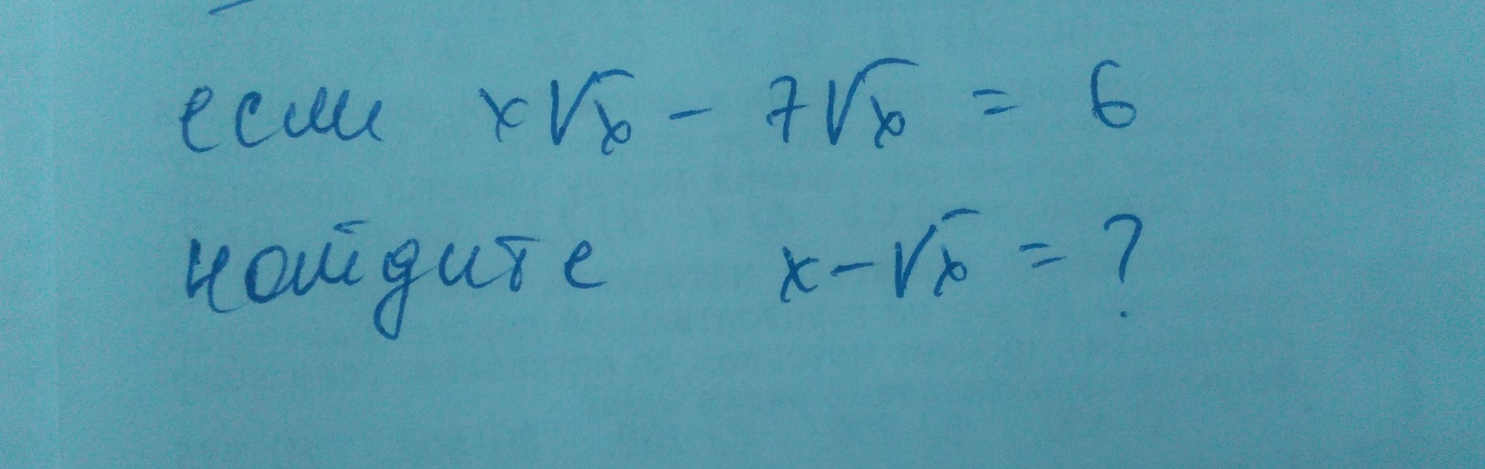
найдите значение выражения

Приложения:

Ответы

Ответ дал: LFP
0

перепишем чуть иначе (можно вынести общий множитель):

√x * (x - 7) = 6

а найти нужно: √x * (√x - 1)

√x * (x - 1 - 6) = 6

√x * ((√x - 1)*(√x + 1) - 6) = 6

√x * (√x - 1) * (√x + 1) - 6√x = 6

√x * (√x - 1) * (√x + 1) = 6 + 6√x

√x * (√x - 1) * (√x + 1) = 6*(√x + 1)

√x + 1 ≠ 0 (√x ≠ -1), потому на эту скобку можно разделить обе части равенства... √x * (√x - 1) = 6

Ответ дал: 999Dmitry999
0
Интересный способ
Ответ дал: 999Dmitry999
0

 xsqrt{x} -7sqrt{x} =6\(sqrt{x} (x-7))^2=36\x^3-14x^2+49x-36=0\a+b+c+d=0=>x_1=1\x^2-13x+36=0\D=169-144=25\x_2=frac{13+5}{2} =9\x_3=4

Проверка корней :

 x=1\sqrt{1}(1-7)neq  6\x=4\sqrt{4} (4-7)neq 6\x=9\sqrt{9} (9-7)=6=>x=9

Ответ:

 x-sqrt{x} =?\9-3=6

Вас заинтересует