Ответы
Ответ дал:
0
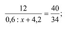
Смотрите ответ на фотографии
Приложения:

Ответ дал:
0
если я не ошибаюсь, то при + в знаменателе нельзя сокращать
Ответ дал:
0
у вас правильный ответ, но непонятное решение
Ответ дал:
0
можно сокращать, если весь знаменатель делится на число, два слагаемых в знаменателе делятся на 6
Ответ дал:
0
В1 тн напиши в лс отправлю по подробнее
Ответ дал:
0
Решение внизу на фото
Приложения:

Вас заинтересует
2 года назад
2 года назад
3 года назад
3 года назад
9 лет назад