Ответы
Ответ дал:
0
конечно же, есть формула для сложных корней, но...
вполне можно обойтись без ее заучивания))
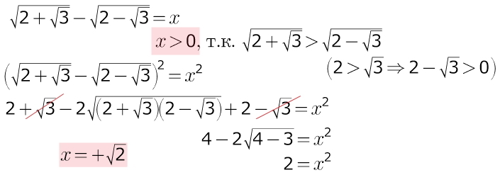
можно обозначить это выражение (х) --нам нужно икс найти... и возвести обе части равенства в квадрат, заранее оценив, что искомое число будет положительным...
Приложения:

Ответ дал:
0
Оооо спасибо ВАМ)))
Ответ дал:
0
√(2+√3)-√(2-√3)=х>0
(√(2+√3)-√(2-√3))²=х²
х²=2+√3-2*√((2+√3)(2-√3))+2-√3
х²=4-2*√(4-3)=4-2=2
х=√2
(√(2+√3)-√(2-√3))²=х²
х²=2+√3-2*√((2+√3)(2-√3))+2-√3
х²=4-2*√(4-3)=4-2=2
х=√2
Приложения:

Ответ дал:
0
И вам спасибо
Вас заинтересует
2 года назад
2 года назад
3 года назад
3 года назад
9 лет назад