• Предмет: Алгебра
  • Автор: SADQ
  • Вопрос задан 8 лет назад

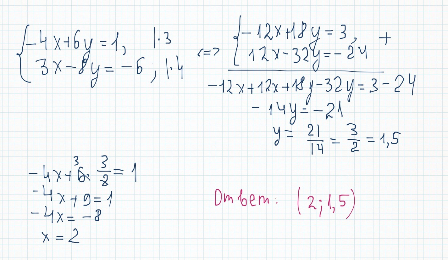
Решите систему методом сложения :

Приложения:

Ответы

Ответ дал: Guardian07
0

...................................................

Приложения:
Ответ дал: zinaidazina
0

 left { {{-4x+6y=1} atop {3x-8y=-6}} right.

Первое уравнение умножим на 4, а второе - на 3.

 left { {{-4*4x+6*4y=1*4} atop {3*3x-8*3y=-6*3}} right.

 left { {{-16x+24y=4} atop {9x-24y=-18}} right.

Складываем:

 -16x+24y+9x-24y=4-18

 -7x=-14

 x=-14:(-7)

 x=2

Подставим х=2 в первое уравнение:

 -4*2+6y=1

 6y=1+8

 6y=9

 y=frac{9}{6}=frac{3}{2}=1,5

 x=2;  y=1,5

Приложения:
Вас заинтересует