Ответы
Ответ дал:
0
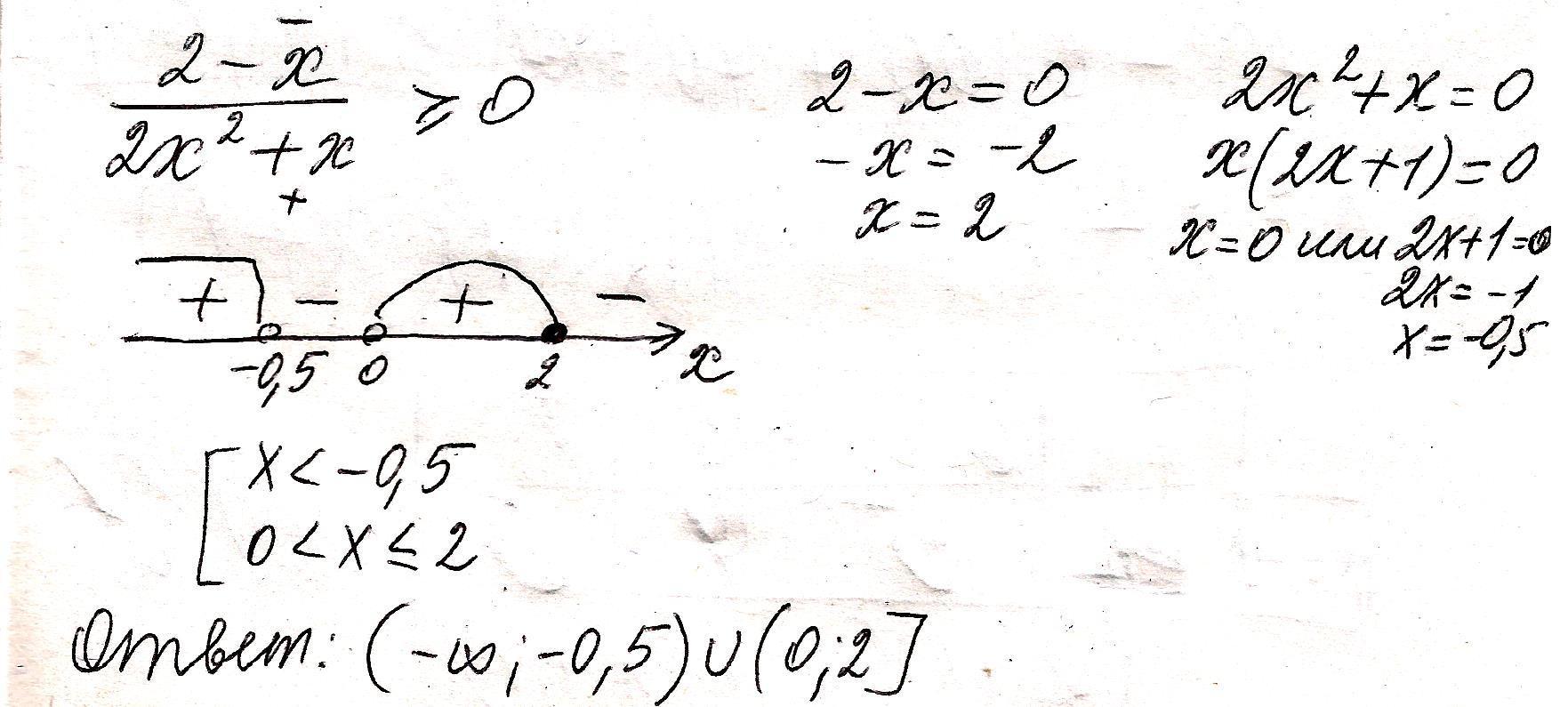
ОДЗ: 2x²+x≠0
x(2x+1)≠0
x≠0 2x+1≠0
2x≠-1
x≠-0.5
В находим "нули" числителя: 2-x=0
x=2
Отмечаем точки на координатной прямой и указываем промежутки:
Приложения:

Ответ дал:
0
Решение (см. изображение)
Приложения:

Ответ дал:
0
спасибо) у меня просто завтра экзамен и надо весь вариант решить)
Вас заинтересует
2 года назад
3 года назад
3 года назад
9 лет назад
9 лет назад