Ответы
Ответ дал:
0
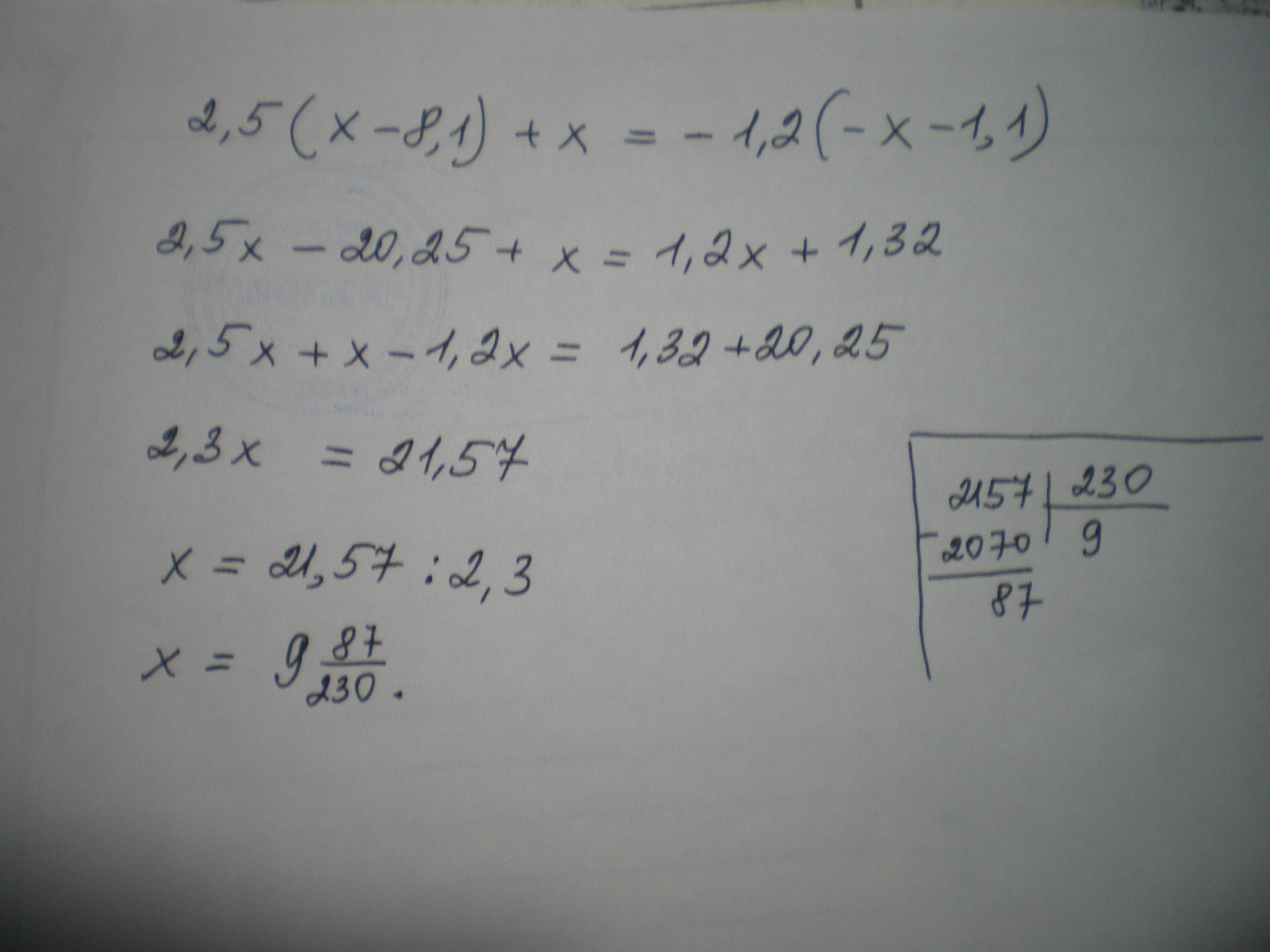
2,5(x - 8,1) + x = - 1,2(-x - 1,1)
2,5х - 20,25 + х = 1,2х + 1,32
2,5х + х - 1,2х = 1,32 + 20,25
2,3х = 21,57
х = 21,57 : 2,3

2,5х - 20,25 + х = 1,2х + 1,32
2,5х + х - 1,2х = 1,32 + 20,25
2,3х = 21,57
х = 21,57 : 2,3
Ответ дал:
0
:::::::::::::решение::::::::::::::
Приложения:

Вас заинтересует
2 года назад
3 года назад
9 лет назад