• Предмет: Алгебра
  • Автор: kamolamazgarovp6k3d7
  • Вопрос задан 8 лет назад

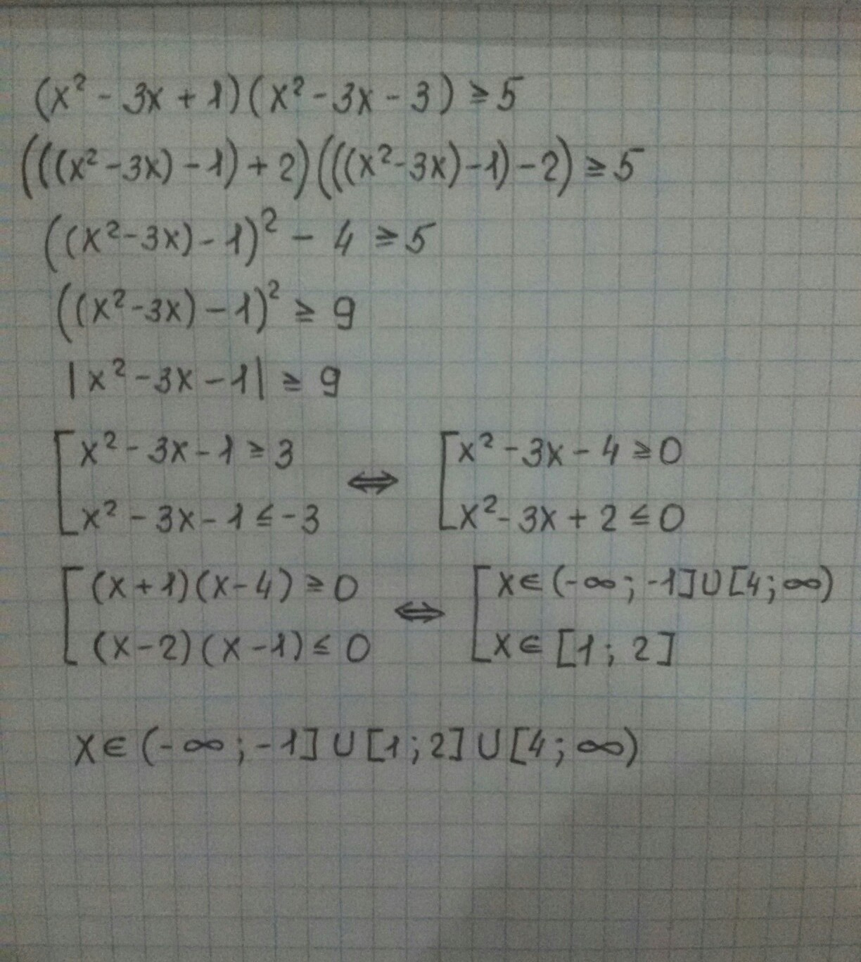
(x^2-3x+1)(x^2-3x-3)≥5

Ответы

Ответ дал: Единорожек34
0
Решение во вложении.
Приложения:
Ответ дал: Единорожек34
0
В пятой строчке описка, модульное выражение больше или равно трем
Вас заинтересует