Ответы
Ответ дал:
0
Вот такое решение. Удачи
Приложения:

Ответ дал:
0
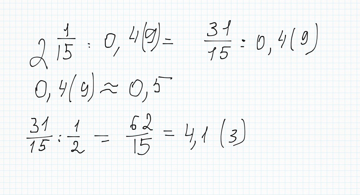
По сути, 0,4(9) это 1/2. Но именно так ответ как раз не выходит. С условием что-то не то
Ответ дал:
0
Хорошо,даже если 0,4(9)-это практически 0,5 ,тогда 31/15 : 0.5=4.13333
Ответ дал:
0
но не и один из вариантов не будет подходить
Ответ дал:
0
Возможно, в условии опечатка. Скорее всего периодическая дробь именно 0,(49)
Ответ дал:
0
Тогда ваш ответ, действительно, верный
Вас заинтересует
2 года назад
2 года назад
3 года назад
9 лет назад
9 лет назад
9 лет назад