• Предмет: Математика
  • Автор: zero21352
  • Вопрос задан 8 лет назад

решите пожалуйста
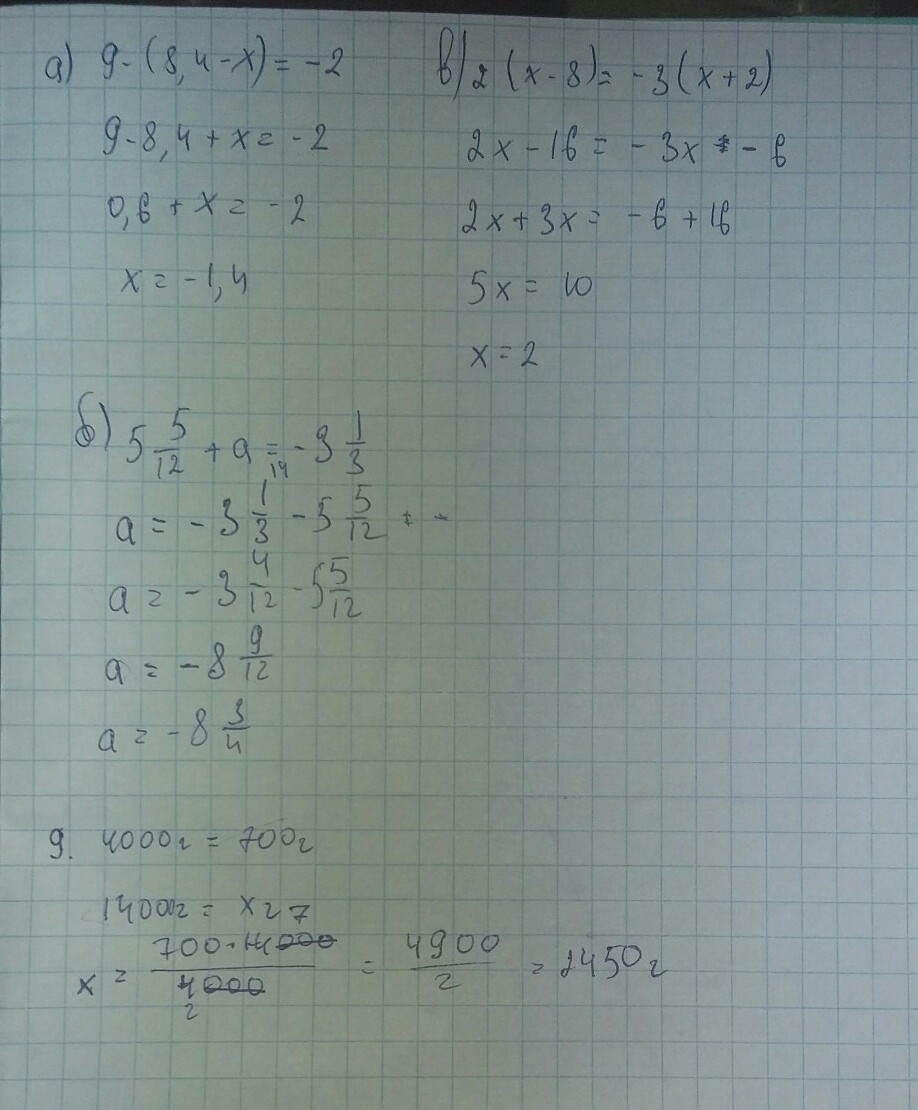
8 и 9 задание

Приложения:

Ответы

Ответ дал: GuryanovaEkaterina
0
ответ во вложении) ставь как лучший!
Приложения:
Вас заинтересует