• Предмет: Математика
  • Автор: staviczkayakatya
  • Вопрос задан 8 лет назад

Помогите пожалуйста !!!! Кому не трудно!!!! Очень срочно надо!!! Заранее спасибо

Приложения:

Ответы

Ответ дал: NastyaSparrow
0

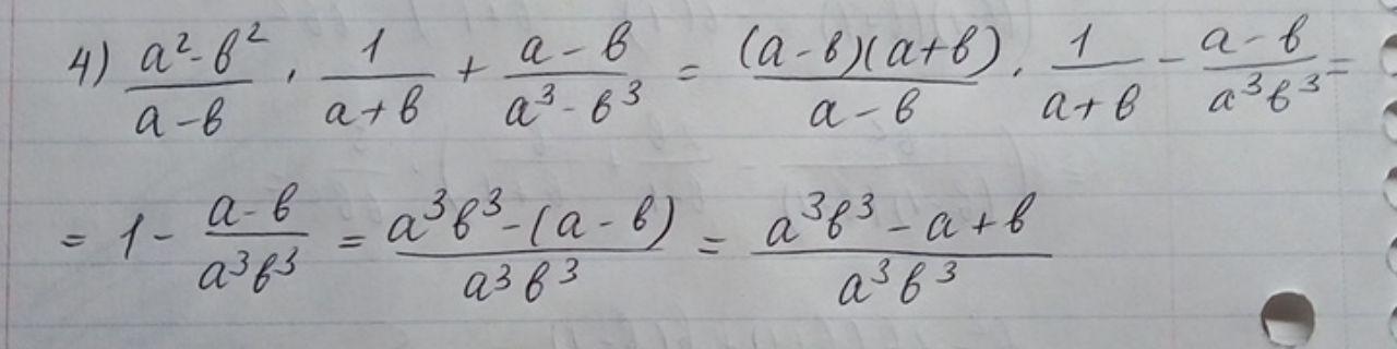
Решение смотри на фото. Если я смогла тебе помочь, отметь, пожалуйста, мое решение как наилучшее. Заранее спасибо!

Приложения:
Вас заинтересует