• Предмет: Алгебра
  • Автор: svinka3
  • Вопрос задан 8 лет назад

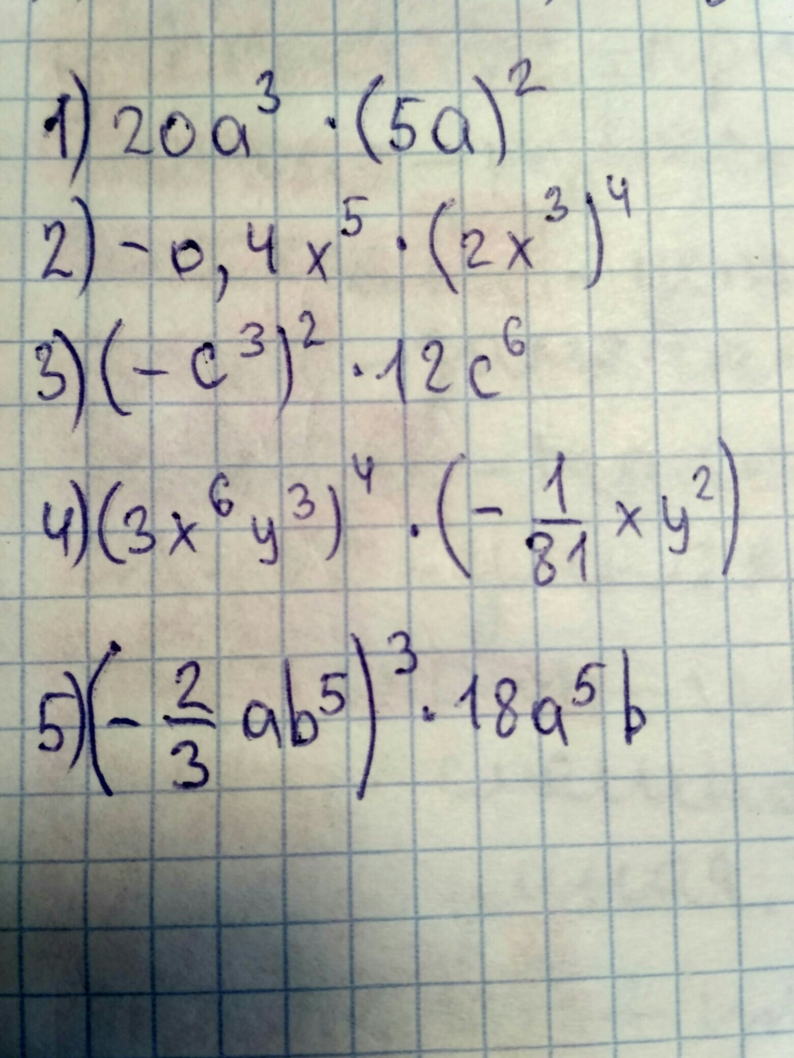
УПРОСТИТЕ ВЫРАЖЕНИЕ.

Приложения:

Ответы

Ответ дал: ruslank1460
0

1) 20a³·(5a)² = 500a⁵;

2) -0,4x⁵·(2x³)⁴ = -0,4x⁵·16x¹² = -6,4x¹⁷

3) (-c³)²·12c⁶ = c⁶·12c⁶ = 12c¹²

4) (3x⁶y³)⁴·(-1/81 · xy²) = 81x²⁴y¹²·(-1/81 · xy²) = -x²⁵y¹⁴;

5) (-2/3 ·ab⁵)³·18a⁵b = -8/27 · a³b¹⁵ · 18a⁵b = -16/3 · a⁸b¹⁶

Ответ дал: mocor
0
В первом должно быть 500, так как 5 еще нужно возвести в квадрат и умножить на 20
Ответ дал: ruslank1460
0
опечатка
Вас заинтересует