• Предмет: Алгебра
  • Автор: spaceroleplaype3649
  • Вопрос задан 8 лет назад

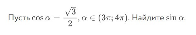
Все на скриншоте видно

Приложения:

Ответы

Ответ дал: dakyt
0
вот и все просто изи
Приложения:
Ответ дал: juniorotabekpai8do
0

Решение внизу на фото

Приложения:
Вас заинтересует