• Предмет: Алгебра
  • Автор: katerina89664
  • Вопрос задан 8 лет назад

дою 15 балов по помогите срочно

Приложения:

Ответы

Ответ дал: sashaTV01
0
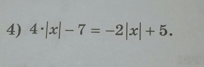
4•|x|-7=-2|x|+5
4*x-7=-2х+5
4-7+2-5=х-х
х=-6
Вас заинтересует