• Предмет: Алгебра
  • Автор: AliceRay
  • Вопрос задан 8 лет назад

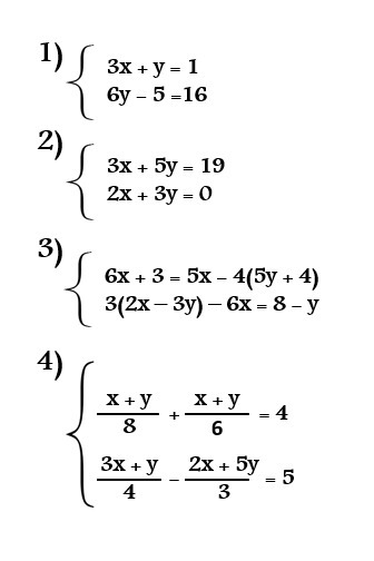
Помогите с системами уравнений пожалуйста)

Приложения:

Ответы

Ответ дал: Xokagge
0

уххх, как-то так последнее мб можно было и попроще способ решения найти

Приложения:
Вас заинтересует