• Предмет: Алгебра
  • Автор: SonjaS
  • Вопрос задан 11 лет назад

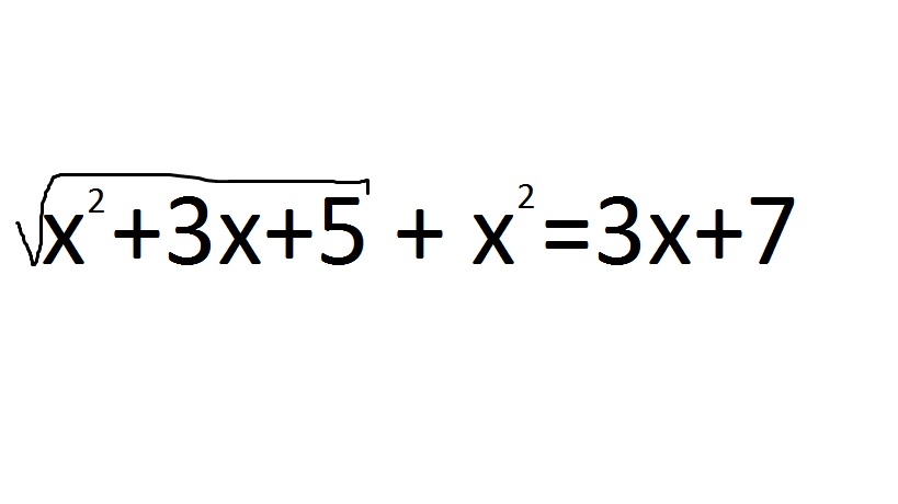
Решить уравнение:

корень x^2-3x+5 + x^2=3x+7 (см.рис)

Приложения:

Ответы

Ответ дал: troleg
0

(Х² - 3 * Х + 5) + √ (Х² - 3 * Х + 5) - 12 = 0

Пусть  √ (Х² - 3 * Х + 5) = Т. Тогда уравнение принимает вид

Т² + Т - 12 = 0

Т₁ = -4  (не подходит, так как корень неотрицательный)     Т₂ = 3

√ (Х² - 3 * Х + 5) = 3

Х² - 3 * Х + 5 = 9

Х² - 3 * Х - 4 = 0

Х₁ = -1    Х₂ = 4

  

Вас заинтересует