• Предмет: Алгебра
  • Автор: katarina62
  • Вопрос задан 8 лет назад

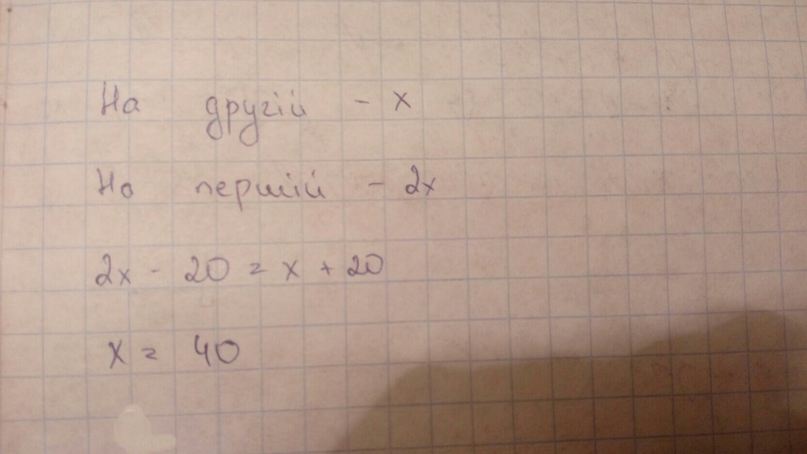
На першій полиці було в 2 рази більше книг,ніж на другій. Якщо з першої полиці переставити на другу 20 книг,то книг на обох полицях стане порівну.Скільки книг будо на другій поличці?

Приложения:

Ответы

Ответ дал: NSema
0
На другій полиці було 40 книг
Приложения:
Вас заинтересует