• Предмет: Математика
  • Автор: fifi9594
  • Вопрос задан 8 лет назад

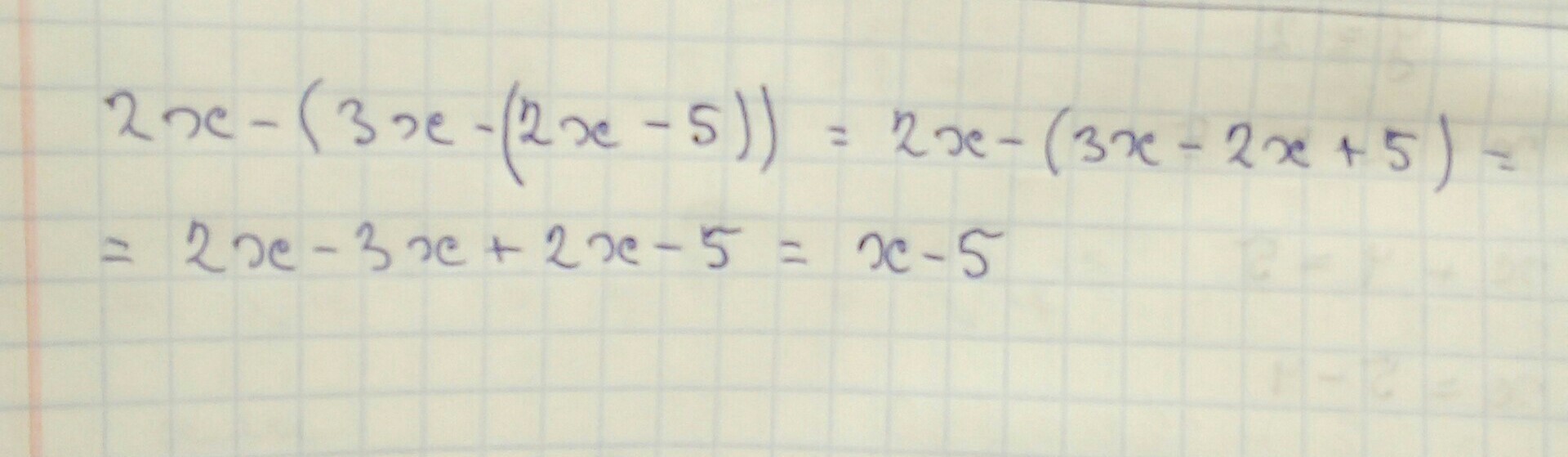
раскройте скобки 2x-(3x-(2x-5))

Ответы

Ответ дал: ЯгодкаЯлесная
0
фоточка тебе в помощь
Приложения:
Вас заинтересует