Ответы
Ответ дал:
0
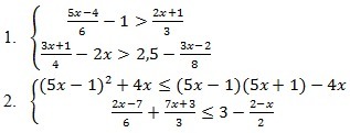
(5x-4)-6-2(2x+1)>0
2(3x+1)-16x-20-(3x-2)>0
5x-4-6-4x-2>0
6x+2-16x-20-3x+2>0
x-12>0
-13x-16>0
x>12
-13x>16
x>2
x<-16/13
потом рисуешь графики
2(3x+1)-16x-20-(3x-2)>0
5x-4-6-4x-2>0
6x+2-16x-20-3x+2>0
x-12>0
-13x-16>0
x>12
-13x>16
x>2
x<-16/13
потом рисуешь графики
Ответ дал:
0
Спасибочки!
Ответ дал:
0
А второй?
Вас заинтересует
2 года назад
3 года назад
3 года назад
9 лет назад
10 лет назад