• Предмет: Алгебра
  • Автор: stiles1996
  • Вопрос задан 8 лет назад

Помогите, пожалуйста!!!

Приложения:

Ответы

Ответ дал: csharp
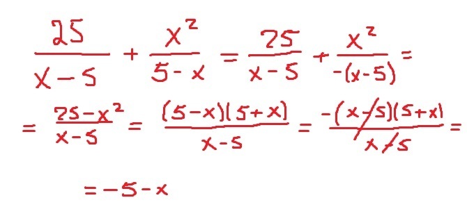
0

........................................

Приложения:
Вас заинтересует