Ответы
Ответ дал:
0
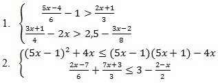
Решила первое, второе попробуйте решить сами)
Приложения:

Ответ дал:
0
Да, правильно. По-крайней мере, у меня также получилось)))
Вас заинтересует
2 года назад
2 года назад
3 года назад
9 лет назад
9 лет назад