• Предмет: Алгебра
  • Автор: antonkormin17
  • Вопрос задан 8 лет назад

Упростите выражение ПОЖАЛУЙСТА БЫСТРЕЕ
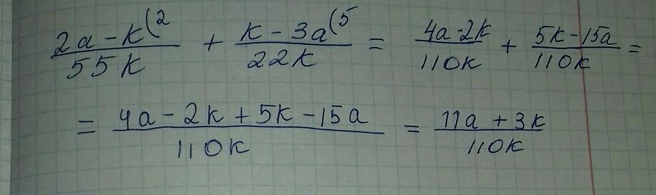
2a-k     k-3a
------ + ------- =
55k       22k

Ответы

Ответ дал: anyuta200485
0
..........................
Приложения:
Ответ дал: antonkormin17
0
не чего не понятно по лутше раздели
Вас заинтересует