• Предмет: Математика
  • Автор: zaremok00005
  • Вопрос задан 8 лет назад

помогите.Добрые людииии.

Приложения:

Ответы

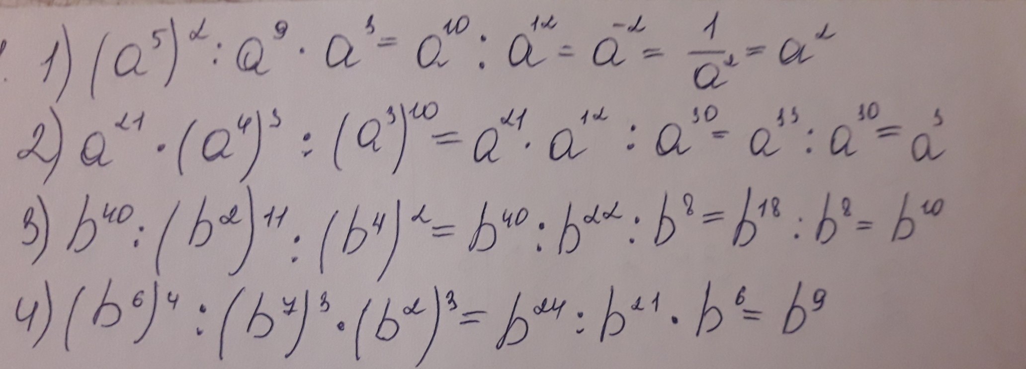
Ответ дал: nikki467
0
надеюсь, правильно)
потом напишешь, что получил(а) - мне любопытно
Приложения:
Вас заинтересует