• Предмет: Алгебра
  • Автор: andrejbogdarenco275
  • Вопрос задан 8 лет назад

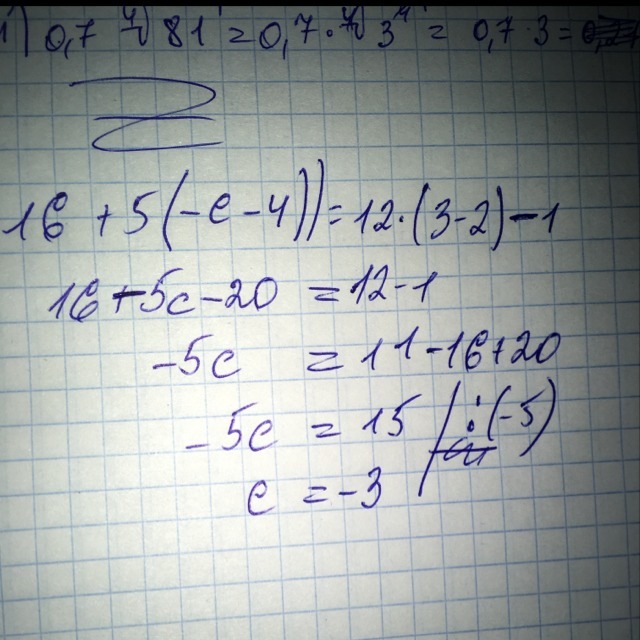
Помогите решить пример 16+5(-с-4))=12(3-2)-1 дам 15 баллов!!!

Ответы

Ответ дал: tvoyapodruga13
0
16-5с-20=36-24-1
-5с=36-24-1-16+20
-5с=11-16+20
-5с=15
с=-3.
Ответ дал: andrejbogdarenco275
0
Всё ок
Ответ дал: tvoyapodruga13
0
))
Ответ дал: andrejbogdarenco275
0
Поможешь ещё с одним примером дам 20 баллов.
Ответ дал: tvoyapodruga13
0
давай
Ответ дал: andrejbogdarenco275
0
Всё задал
Ответ дал: obydennov81
0
Кушай, будем надеяться это «5»
Приложения:
Вас заинтересует