• Предмет: Математика
  • Автор: Аноним
  • Вопрос задан 8 лет назад

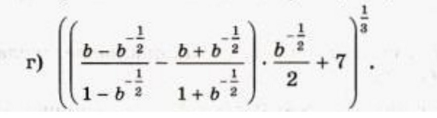
Помогите!! Очень срочно!! 20 б!!!

Приложения:

Ответы

Ответ дал: Аноним
0

Решение на фотографии

Приложения:
Вас заинтересует