• Предмет: Геометрия
  • Автор: arseniy5530
  • Вопрос задан 8 лет назад

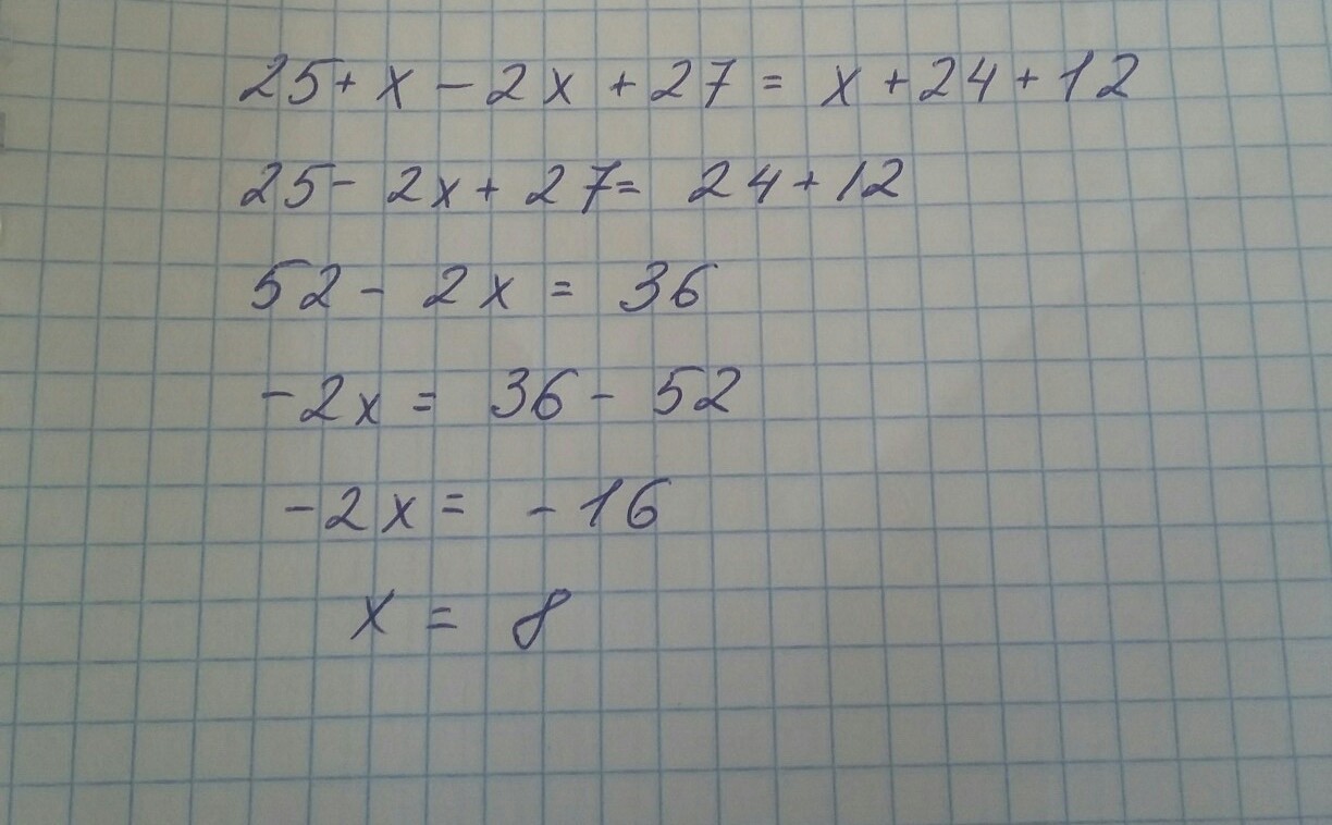
25+x-2x+27=x+24+12
помогите решить уравнение пожалуйста

Ответы

Ответ дал: littleunicorn1473
0
х-2х-х=24+12-25-27
-2х=-16|:(-2)
х=8
Ответ дал: сабинаааа
0
....................
Приложения:
Вас заинтересует