• Предмет: Математика
  • Автор: Slowpoke322
  • Вопрос задан 8 лет назад

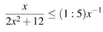
Решите неравенство, очень нужна помощь (если можно распишите на листочке)

Приложения:

Ответы

Ответ дал: Dedagenn
0

х/(2х²+12)≤1/5х

Ищем ОДЗ: знаменатели в 0 при {х=0, {2х²+12=0, х²=-6 -корня не существует (выражение не имеет смысла)

Исключаем из ОДЗ: х≠0

Общий знаменатель и приводим 5х²-(2х²+12)≤0, решаем кв. ур-е и записываем (х-2)(х+2)≤0, {х≤2 {х≥-2

С учетом ОДЗ х€[-2;0)U(0;2] -ответ

Вас заинтересует