• Предмет: Алгебра
  • Автор: MTHRFCKR
  • Вопрос задан 8 лет назад

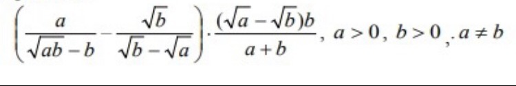
Упростите выражение.

Приложения:

Ответы

Ответ дал: jnj45893
0
 {a > 0, b > 0, a neq b.} \ left( frac{ a }{ sqrt{ab} - b } - frac{ sqrt{b} }{ sqrt{b} - sqrt{a} right) } times frac{ left( sqrt{a} - sqrt{b} right) }{ a + b} = left( frac{ a }{ sqrt{b} left( sqrt{a} - sqrt{b} right) } + frac{ b }{ sqrt{b} left( sqrt{a} - sqrt{b} right) } right) times frac{ left( sqrt{a} - sqrt{b} right) }{ a + b} = frac{ a + b }{ sqrt{b} left( sqrt{a} - sqrt{b} right) } times frac{ b left( sqrt{a} + sqrt{b} right) }{ a + b } = frac{ sqrt{b} left( sqrt{a} + sqrt{b} right) }{ sqrt{a} - sqrt{b} }.
Вас заинтересует