Ответы
Ответ дал:
0
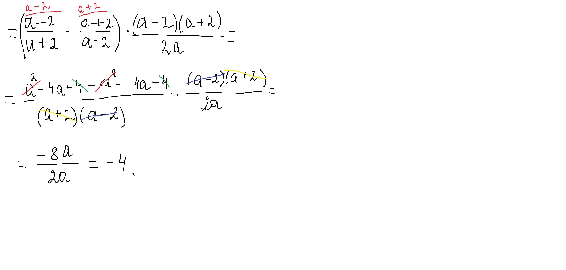
решение примера смотри внизу
Приложения:

Ответ дал:
0
А второе действие
Ответ дал:
0
действие деления заменили на умножение,пример решен полностью
Вас заинтересует
2 года назад
2 года назад
3 года назад
3 года назад
9 лет назад
9 лет назад
9 лет назад