• Предмет: Физика
  • Автор: Аноним
  • Вопрос задан 8 лет назад

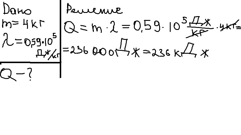
Какая энергия требуется для плавления олова массой 4 кг при температуре плавления

Ответы

Ответ дал: rakhatyusupov22
0

Необходимо просто использовать формулу

Приложения:
Вас заинтересует