Ответы
Ответ дал:
0
См. Приложение для решения
Приложения:

Ответ дал:
0
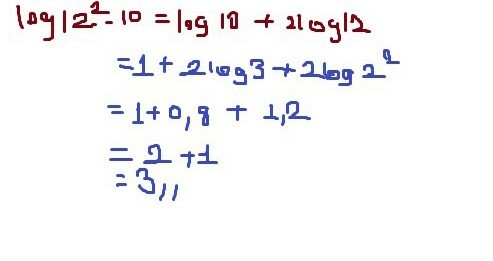
lg1440=lg10+lg144=1+lg12²=1+2lg2*2*3=1+2(lg2+lg2+lg3)=1+2(0,3+0,3+0.4)=3;
Приложения:

Вас заинтересует
2 года назад
2 года назад
3 года назад
3 года назад
9 лет назад