• Предмет: Алгебра
  • Автор: xxx86
  • Вопрос задан 8 лет назад

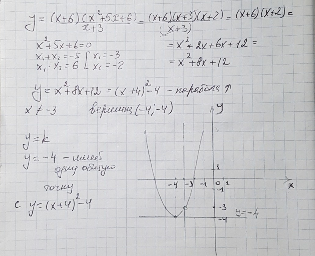
постройте график функции
30 баллов!!) пожалуйста )

Приложения:

Ответы

Ответ дал: 1233090
0
решение задания смотри на фотографии
Приложения:
Ответ дал: xxx86
0
ну по идее да,ибо это ответы с этого учебника
Ответ дал: xxx86
0
хоть у меня такой же ответ получился, и поэтому я засомневался
Ответ дал: xxx86
0
хорошо, большое спасибо))
Ответ дал: 1233090
0
пожалуйста
Ответ дал: 1233090
0
Спасибо за оценку
Вас заинтересует