• Предмет: Математика
  • Автор: Гламурнаяя
  • Вопрос задан 8 лет назад

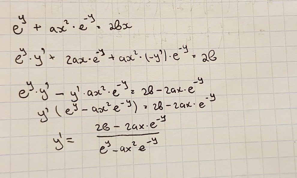
Найти производную функции e^{y} +ax^{2} e^{-y} =2bx
Пожалуйста!

Ответы

Ответ дал: Miroslava227
0
решение на фотографии
Приложения:
Вас заинтересует