• Предмет: Математика
  • Автор: marianstesenko
  • Вопрос задан 8 лет назад

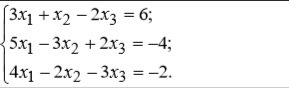
Решить систему линейных алгебраических уравнений по правилу Крамера, методом Гаусса:

Приложения:

Ответы

Ответ дал: Miroslava227
0
решение на фотографии
Приложения:
Вас заинтересует