• Предмет: Математика
  • Автор: fidanmalik
  • Вопрос задан 8 лет назад

Векторы.
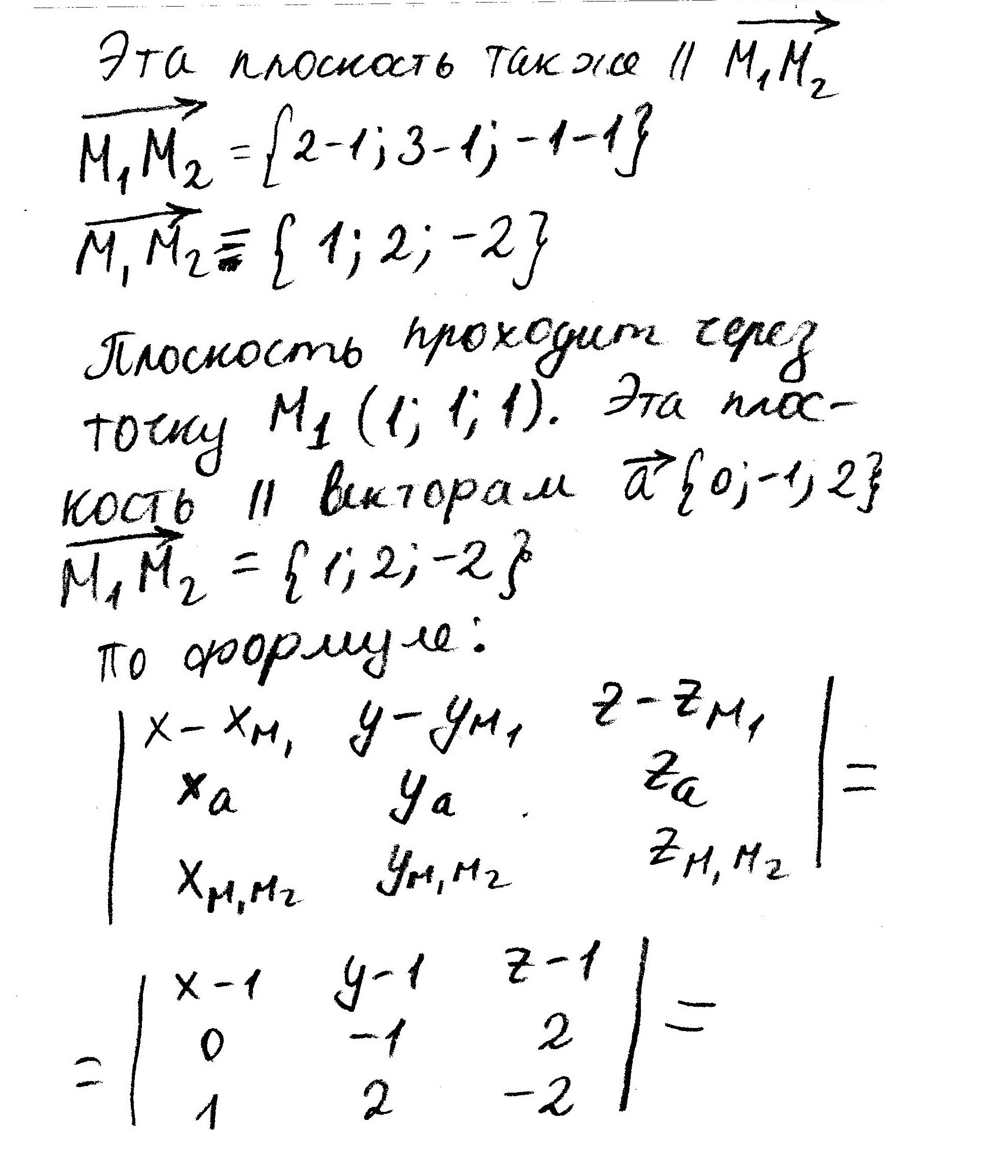
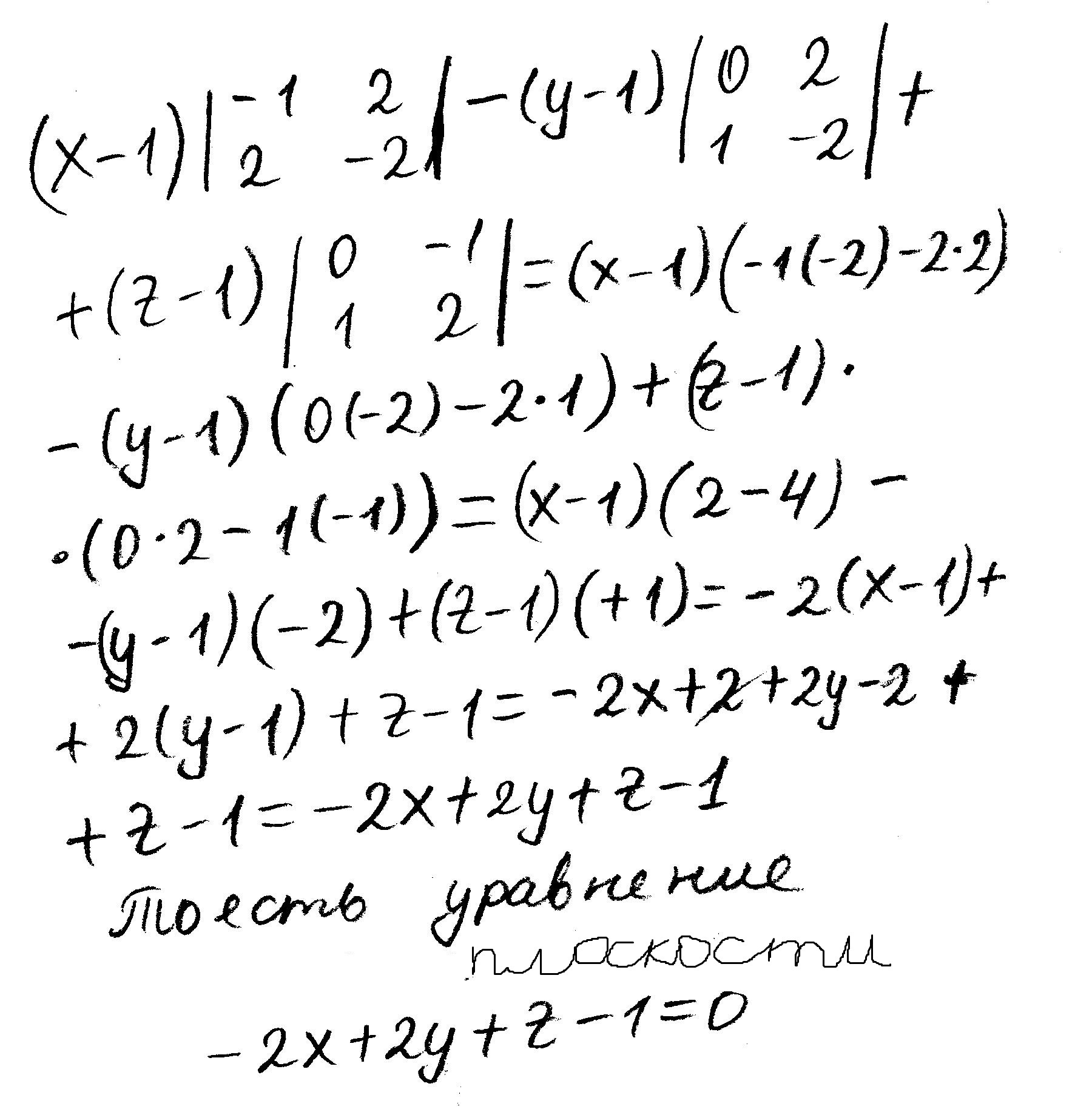
Написать уравнение плоскости,проходящей через точки
М1( 1, 1, 1) М2(2, 3, -1) параллельно вектору а(0, -1, 2).
Помогите пожалуйста. Заранее спасибо))

Ответы

Ответ дал: bearcab
0

Решение в приложении.

Приложения:
Ответ дал: fidanmalik
0
Спасибо вам огромное!
Вас заинтересует