• Предмет: Математика
  • Автор: ggg1ggg41
  • Вопрос задан 8 лет назад

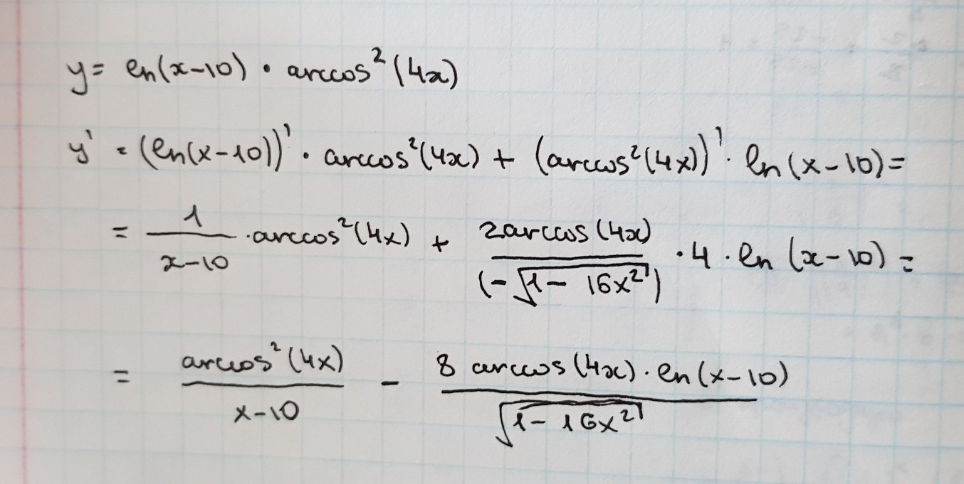
у=In(x-10)×arccos^2×4x производная!Пожалуйста помогите!

Ответы

Ответ дал: Miroslava227
0
решение на фотографии
Приложения:
Вас заинтересует