Нужно решить до завтра
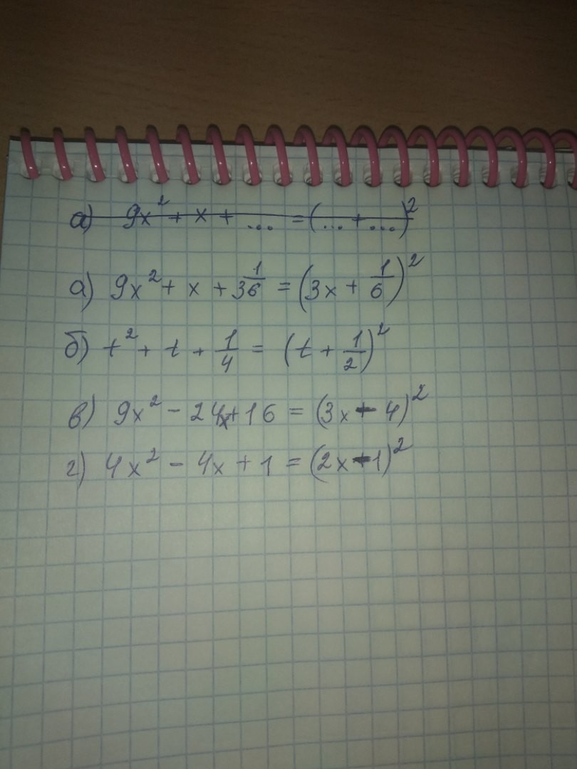
Заполните пропуски так, чтобы получить квадрат суммы(разности) двух выражений:
а) 9x²+x+...=(...+...)²;
б) t²+...+1/4=(...+...)²;
в) 9x²-...+16=(...-...)²;
г) 4x²-...+1=(...-...)²
Ответы
Ответ дал:
0
Все решенные примеры приведены на фото
Приложения:

Ответ дал:
0
а)
б)
в)
г)
Приложения:

Вас заинтересует
2 года назад
2 года назад
3 года назад
9 лет назад
9 лет назад
9 лет назад