Ответы
Ответ дал:
0
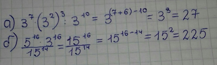
Решение смотри на фото
Приложения:

Ответ дал:
0
Большое спасибо
Ответ дал:
0
Пожалуйста
Вас заинтересует
2 года назад
2 года назад
3 года назад
3 года назад
9 лет назад
9 лет назад
9 лет назад