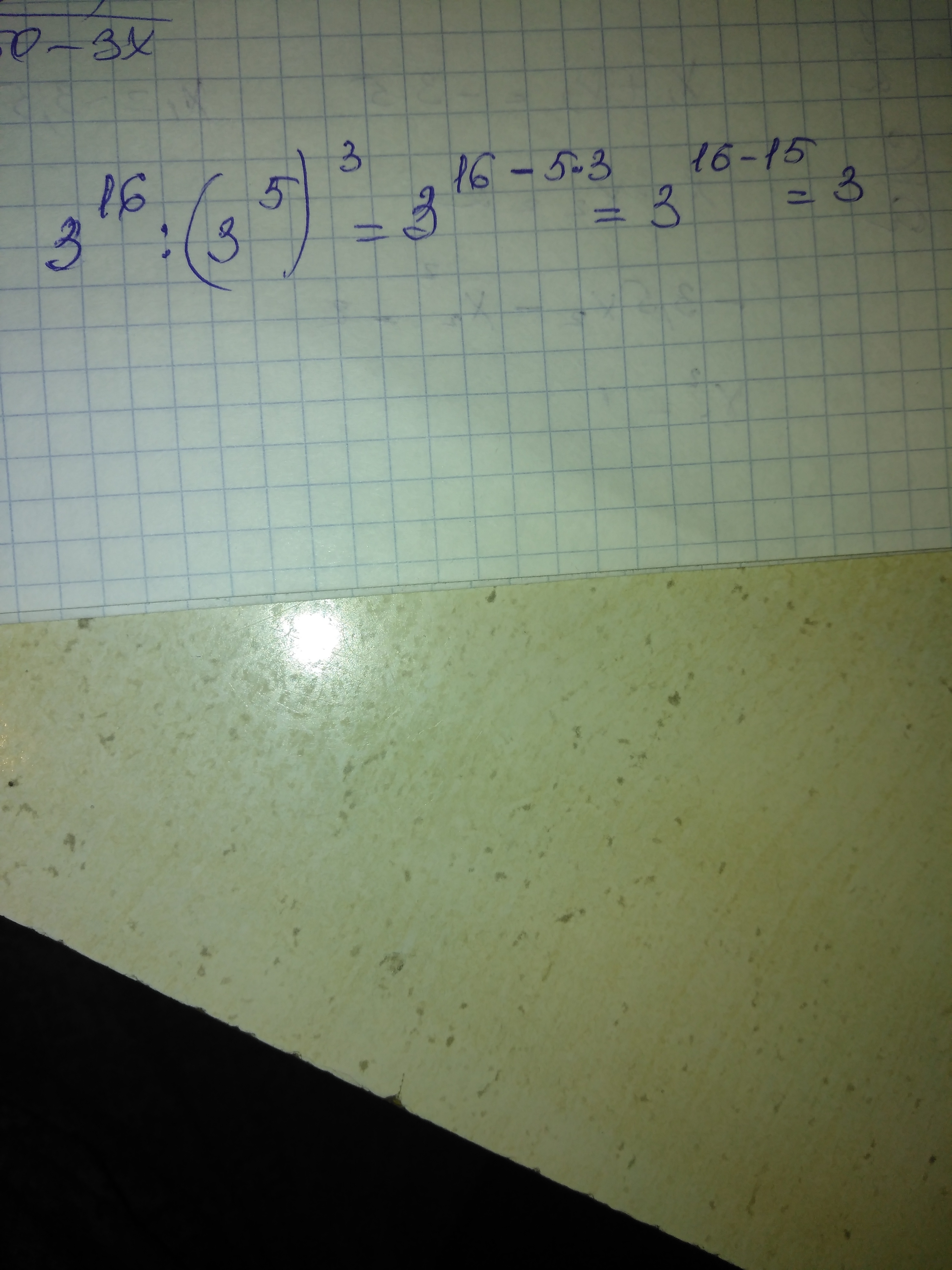
Помогите пожалуйста решить пример 3 основание 16 показатель : ( 3 основание 5 показатель ) 3 показатель
Ответы
Ответ дал:
0
Смотри,,,,,,,,,,,,,,,,,,,,,,,
Приложения:

Вас заинтересует
2 года назад
2 года назад
3 года назад
3 года назад
9 лет назад
9 лет назад
9 лет назад